技術資料

FEM構造解析例

解析目的:ライトシェルフに 風荷重と重力荷重/地震荷重/積雪荷重 を与えた時の応力状態、変形状態を把握する。


風圧計算

FEM構造解析

*原設計より重量を最大30%軽量化
*各応力に対応可能な構造に検討

解析条件:
解析1: 風荷重+積雪荷重 を負荷 真上から
解析2: コマ材/ボルト検討
風荷重+積雪荷重
地震荷重負荷 水平方向 1.0G
地震荷重負荷 前後方向 1.0G
解析3: 地震荷重負荷 左右方向 1.0G
解析4: 地震荷重負荷 前後方向 1.0G
解析5: 吊り金具/ボルト検討
風荷重+積雪荷重
地震荷重負荷 水平方向 1.0G
地震荷重負荷 前後方向 1.0G
解析6: リブ ボルト検討
解析7: 地震共振周波数と共振モードの計算

変形解析

FEM解析

構造物はそれぞれ、特有の振動モード(揺れる形)と共振周波数を持っています。当社ではFEM解析を用いてこれらを精密に算出します。設計上重要なのは、地震と構造物の周波数を一致させないことです。共振現象が起きると過大な揺れや応力が発生し、破損の原因となるため、事前の解析によるリスク回避が不可欠です。

変形解析

FEM解析

応力状態(フォンミーゼス応力値)

FEM解析

地震荷重負荷 前後方向 1.0G 変形状態

FEM解析

風荷重+積雪荷重

FEM解析

DISCHARGE ATTENUATOR MODULE 解析例

解析目的: DISCHARGE ATTENUATOR MODULE 等価損失と圧力損失解析。


解析は空気領域を要素に分割して行います

DAM解析

本解析報告書は、過去にご発注いただきました「DISCHARGE ATTENUATOR MODULE」における、音の等価損失および圧力損失の解析結果をまとめたものです。 各評価項目に対し、以下の通りそれぞれに最適な計算手法を用いて解析を行いました。

1. 音の等価損失:波動方程式に基づく有限要素法(FEM)で算出。

2. 圧力損失:RNG k-ε乱流モデルに基づく有限体積法(FVM)で算出。

面に吸音率

DAM解析

JIS規格による等価損失の測定方法

DAM解析

アッテネータの等価損失(音圧レベル分布)

DAM解析

流線(ANSYS CFX 2022R2 )

DAM解析

圧力分布

DAM解析

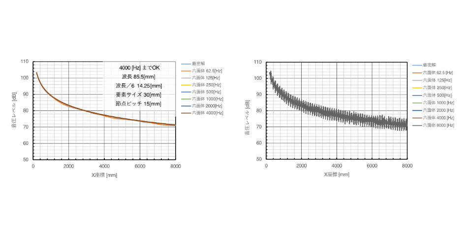
厳密解とシ ミュレーシ ョン結果

DAM解析

資料請求フォーム

J-Createの技術資料をご希望の場合は、以下のフォームにご記入ください。ご希望の資料を選択していただくと、メールに添付してお送りいたします。

ご希望の資料を選択してください
※他の資料につきましては現在作成中です。完成次第、順次公開いたします。

プライバシーポリシー

株式会社J・クリエイトは、お客様の個人情報の保護を重要な責務と考え、以下のプライバシーポリシーを定めています。

株式会社J・クリエイト(以下「当方」といいます。)は、当方が運営するウェブサイト上の資料請求フォーム(以下「本フォーム」といいます。)を通じて取得する、お客様の個人情報の取扱いについて、以下のとおりプライバシーポリシー(以下「本ポリシー」といいます。)を定めます。

第1条(個人情報の定義)

本ポリシーにおいて「個人情報」とは、個人情報の保護に関する法律(平成十五年法律第五十七号、以下「個人情報保護法」といいます。)に定める個人情報をいい、本フォームでお客様から取得する氏名、会社名、メールアドレス、電話番号など、特定の個人を識別できる情報を指します。

第2条(個人情報の取得と利用目的)

当方は、お客様が本フォームに入力された以下の個人情報を、適法かつ公正な手段によって取得し、下記の目的の範囲内で適正に利用します。

1. 取得する個人情報

  • 氏名
  • 会社名
  • メールアドレス
  • 電話番号

2. 利用目的

  • ご請求いただいた資料の送付(Eメール等による)のため
  • お問い合わせに対する回答や連絡のため
  • 当方の製品・サービスに関する情報提供(メールマガジン、新サービスのお知らせ、セミナー案内など)のため
  • 当方の製品・サービスの開発、改善を目的とした分析・マーケティングのため
  • 個人を識別できない形式に加工した統計データを作成するため

第3条(個人情報の第三者提供)

当方は、次に掲げる場合を除き、あらかじめお客様の同意を得ることなく、第三者に個人情報を提供することはありません。

  • 法令に基づく場合
  • 人の生命、身体または財産の保護のために必要がある場合であって、本人の同意を得ることが困難であるとき
  • 公衆衛生の向上または児童の健全な育成の推進のために特に必要がある場合であって、本人の同意を得ることが困難であるとき
  • 国の機関もしくは地方公共団体またはその委託を受けた者が法令の定める事務を遂行することに対して協力する必要がある場合であって、本人の同意を得ることにより当該事務の遂行に支障を及ぼすおそれがあるとき
  • 利用目的の達成に必要な範囲内において、個人情報の取扱いの全部または一部を委託する場合

第4条(個人情報の安全管理措置)

当方は、取り扱う個人情報の漏えい、滅失または毀損の防止その他の個人情報の安全管理のために、必要かつ適切な措置を講じます。具体的には、組織的、人的、物理的、技術的な安全管理措置を徹底します。

第5条(SSL(セキュア・ソケット・レイヤー)について)

当方のウェブサイトは、お客様の個人情報を保護するために「SSL」に対応しております。SSLとは、インターネット上でデータを暗号化して送受信する仕組みです。お客様が入力される個人情報は自動的に暗号化されて送受信されるため、万が一、送信データが第三者に傍受された場合でも、内容が盗み取られる心配はありません。

第6条(個人情報の開示・訂正・利用停止等)

当方は、お客様ご本人から個人情報の開示、訂正、追加、削除、利用停止または消去(以下「開示等」といいます。)を求められたときは、ご本人であることを確認させていただいた上で、法令の定めに従い、速やかに対応します。ご希望の場合は、下記の「お問い合わせ窓口」までご連絡ください。

第7条(プライバシーポリシーの変更)

当方は、法令の改正や事業運営上の必要性に応じて、本ポリシーを改定することがあります。変更後のプライバシーポリシーは、当方ウェブサイトに掲載したときから効力を生じるものとします。

第8条(お問い合わせ窓口)

本ポリシーに関するお問い合わせは、下記の窓口までお願いいたします。

お問い合わせ窓口

事業者名: 株式会社J・クリエイト

所在地: 東京都中央区東日本橋3-7-19 友泉東日本橋駅前ビル 9F

Eメールアドレス: info@jcreatejapan.com

電話番号: 03-6667-5866

制定日: 2025年9月8日